Ultrasonic Testing
Ultrasonic testing uses the same principle as is used in naval SONAR and fish finders. Ultra-high frequency sound is introduced into the part being inspected and if the sound hits a material with a different acoustic impedance (density and acoustic velocity), some of the sound will reflect back to the sending unit and can be presented on a visual display. By knowing the speed of the sound through the part (the acoustic velocity) and the time required for the sound to return to the sending unit, the distance to the reflector (the indication with the different acoustic impedance) can be determined. The most common sound frequencies used in UT are between 1.0 and 10.0 MHz, which are too high to be heard and do not travel through air. The lower frequencies have greater penetrating power but less sensitivity (the ability to "see" small indications), while the higher frequencies don't penetrate as deeply but can detect smaller indications.
The two most commonly used types of sound waves used in industrial inspections are the compression (longitudinal) wave and the shear (transverse) wave, as shown in Figure 10. Compression waves cause the atoms in a part to vibrate back and forth parallel to the sound direction and shear waves cause the atoms to vibrate perpendicularly (from side to side) to the direction of the sound. Shear waves travel at approximately half the speed of longitudinal waves.
Sound is introduced into the part using an ultrasonic transducer ("probe") that converts electrical impulses from the UT machine into sound waves, then converts returning sound back into electric impulses that can be displayed as a visual representation on a digital or LCD screen (on older machines, a CRT screen). If the machine is properly calibrated, the operator can determine the distance from the transducer to the reflector, and in many cases, an experienced operator can determine the type of discontinuity (like slag, porosity or cracks in a weld) that caused the reflector. Because ultrasound will not travel through air (the atoms in air molecules are too far apart to transmit ultrasound), a liquid or gel called "couplant" is used between the face of the transducer and the surface of the part to allow the sound to be transmitted into the part.
Videos
Overview
Ultrasonics refers to any study or application of sound waves higher in frequency than the human audible range. Music and common sounds that are considered pleasant are typically 12 kHz or less, while some humans can hear frequencies up to 20 kHz. Ultrasonic waves consist of frequencies greater than 20 kHz and exist in excess of 25 MHz. They are used in many applications including plastic welding, medicine, jewelry cleaning, and nondestructive test. Within nondestructive test, ultrasonic waves give you the ability to"see through" solid/opaque material and detect surface or internal flaws without affecting the material adversely.
Table of Contents
1. Basics of Ultrasonic Test
2. Ultrasonic Wave Modes
3. Snell’s Law
4. Acoustic Impedance
1. Basics of Ultrasonic Test
Ultrasonic wavelengths are on the same order of magnitude as visible light, giving them many of the same properties of light. For example, ultrasonic wavelengths can be focused, reflected, and refracted. Ultrasonic waves are transmitted through air, water, and solids such as steel by high-frequency particle vibrations. These waves are transmitted in homogenous solid objects much like pointing a flashlight around a room with various objects that reflect light. The directed energy in an ultrasonic wave is reflected by boundaries between materials regardless of whether the material is gas, liquid, or solid. Ultrasonic waves are also reflected by any cracks or voids in solid materials. These reflected waves, which are caused by internal defects, can be compared to the reflected waves from the external surfaces, enabling the size and severity of internal defects to be identified.
Generating and detecting ultrasonic waves requires an ultrasonic transducer. Piezoelectric ceramics within ultrasonic transducers are "struck" – similar to the way tuning forks are struck to generate an audible note – with electricity, typically between 50 and 1000 V – to produce the ultrasonic wave. The ultrasonic wave is carried from the transducer to the unit under test (UUT) by a couplant – typically water, oil, or gel – and is reflected back to the transducer by both external surfaces and internal defects.
When operating in pulse-echo mode, ultrasonic transducers act as both emitters and receivers. The reflected ultrasonic waves vibrate the piezoelectric crystal within the ultrasonic transducer and generate voltages that are measurable by data acquisition hardware. When operating in through-transmission mode, two ultrasonic transducers are used; one transducer generates the wave and the other receives the wave.
In a typical application, the ultrasonic transducer is struck with a high-voltage pulse, which lasts on the order of 5 µs, and then the system listens for the echoes. The system listens on the order of 10 to 15 µs. Even in the most advanced systems, the transducers are pulsed every 500 µs.
The most primitive method to analyze the reflected ultrasonic signals is time-of-flight (TOF) display, or A-scan. Discontinuities that are closer to the ultrasonic transducer are received sooner than those further away from the transducer. The figure below depicts the TOF display from the previous example.
Wavelength (Lambda λ) =Velocity/ Time or Frequency
Note:Velocity is Constant for material where sound to be transmitted.
For Example Steel Velocity is
Steel, Mild:5920 meter/second
Steel, Stainless: 5800 meter/second
Copper:4700 meter/second
Gold :3200 meter/second
For more material refer velocity table of Materials
The x-axis on the A-scan is not typically units of time but is converted to distance. This conversion is accomplished by measuring, or looking up, the speed of sound through the material that the ultrasonic wave is traveling through and performing the conversion. Although there are a few exceptions, the speed of sound through a material is governed largely by the density and elasticity of the material. For most materials, the speed of sound within homogenous material is easy to research and find.
Most ultrasonic nondestructive test applications range from 400 kHz to 25 MHz. The frequency of the ultrasonic sensor is chosen based on several factors including detectable flaw size, depth of penetration, and grain size of the material. Materials made of fine-grained material, such as metals, permit deep penetration by ultrasonic waves of all frequencies. However, coarse-grained material, including many plastics, scatter high-frequency ultrasonic waves. The higher the frequency, the smaller the flaws the system detects, but the depth of penetration decreases.
2. Ultrasonic Wave Modes
Two predominant types of waves, or wave modes, are generated within a material with ultrasonic waves: longitudinal and shear. Longitudinal waves (L-waves) compress and decompress the material in the direction of motion, much like sound waves in air. Shear waves (S-waves) vibrate particles at right angles compared to the motion of the ultrasonic wave. The velocity of shear waves through a material is approximately half that of the longitudinal waves. The angle in which the ultrasonic wave enters the material determines whether longitudinal, shear, or both waves are produced.
Ultrasonic beam refraction and mode conversion are comparable to light as it passes from one medium to another. Remember how the straw in the glass of water looks broken if observed from the side? The same phenomenon occurs with ultrasonic waves as they are passed into a UUT. The figure below depicts an ultrasonic transducer that transmits an ultrasonic wave through water into a block of steel. Because the direction of the ultrasonic wave is at a 90-degree angle with the surface of the steel block, no refraction occurs and the L-wave is preserved.
As the angle of the 0ultrasonic transducer is altered, refraction and mode conversion occur. In the figure below, the ultrasonic transducer has been rotated 5 degrees. The longitudinal wave from the transducer is converted into two modes, longitudinal and shear, and both wave modes are refracted. Notice that the waves are refracted at different angles. In this example, the L-wave is approximately four times the transducer angle and the S-wave is just over two times the transducer angle. Angles that create two wave modes are not appropriate because they cause the ultrasonic transducer to receive multiple echoes, making it difficult to analyze the data.
Refraction and mode conversion occur because of the change in L-wave velocity as it passes the boundary from one medium to another. The higher the difference in the velocity of sound between two materials, the larger the resulting angle of refraction. L-waves and S-waves have different angles of refraction because they have dissimilar velocities within the same material.
As the angle of the ultrasonic transducer continues to increase, L-waves move closer to the surface of the UUT. The angle at which the L-wave is parallel with the surface of the UUT is referred to as the first critical angle. This angle is useful for two reasons. Only one wave mode is echoed back to the transducer, making it easy to interpret the data. Also, this angle gives the test system the ability to look at surfaces that are not parallel to the front surface, such as welds.
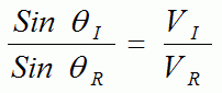
3. Snell’s Law
L-wave and S-wave refraction angles are calculated using Snell’s law. You also can use this law to determine the first critical angle for any combination of materials.
Where:
θR = angle of the refracted beam in the UUT
θI = incident angle from normal of beam in the wedge or liquid
VI = velocity of incident beam in the liquid or wedge
VR = velocity of refracted beam in the UUT
For example, calculate the first critical angle for a transducer on a plastic wedge that is examining aluminum.VI = 0.267 cm/µs (for L-waves in plastic)
VR = 0.625 cm/µs (for L-waves in aluminum)
θR = 90 degree (angle of L-wave for first critical angle)
θI = unknown
The plastic wedge must have a minimum angle of 25.29 degrees to transmit only S-waves into the UUT. When the S-wave angle of refraction is greater than 90 degrees, all ultrasonic energy is reflected by the UUT.
4. Acoustic Impedance
When performing ultrasonic testing, it is important to understand how effectively ultrasonic waves pass from one medium to another. Generally, when an ultrasonic wave is passed from one medium to another, some energy is reflected and the remaining energy is transmitted. The factor that describes this relationship is referred to as acoustical impedance and the acoustical impedance ratio.
Z = ρV
Where:Z = acoustical impedance
ρ = density
V = velocity of sound through medium
For reference, air has low acoustical impedance, water has higher impedance than air, and steel has higher impedance than water. The acoustical impedance ratio is the impedance of the second material divided by the first. The higher the ratio, the more energy is reflected. For example, when ultrasonic waves are passed from water to steel, the acoustical impedance is approximately 20 to 1; whereas, when ultrasonic waves are passed from air to steel, the acoustical impedance is approximately 100,000 to 1. Almost 100 percent of the ultrasonic energy is reflected when passing ultrasonic waves from air to a solid such as steel, making air a very poor ultrasonic couplant.
UT Techniques
Straight Beam
Straight beam inspection uses longitudinal waves to interrogate the test piece as shown at the right. If the sound hits an internal reflector, the sound from that reflector will reflect to the transducer faster than the sound coming back from the back-wall of the part due to the shorter distance from the transducer. This results in a screen display like that shown at the right in Figure 11. Digital thickness testers use the same process, but the output is shown as a digital numeric readout rather than a screen presentation.
Angle Beam
Angle beam inspection uses the same type of transducer but it is mounted on an angled wedge (also called a "probe") that is designed to transmit the sound beam into the part at a known angle. The most commonly used inspection angles are 45o, 60o and 70o, with the angle being calculated up from a line drawn through the thickness of the part (not the part surface). A 60o probe is shown in Figure 12. If the frequency and wedge angle is not specified by the governing code or specification, it is up to the operator to select a combination that will adequately inspect the part being tested.
In angle beam inspections, the transducer and wedge combination (also referred to as a "probe") is moved back and forth towards the weld so that the sound beam passes through the full volume of the weld. As with straight beam inspections, reflectors aligned more or less perpendicular to the sound beam will send sound back to the transducer and are displayed on the screen.
Immersion Testing
Immersion Testing is a technique where the part is immersed in a tank of water with the water being used as the coupling medium to allow the sound beam to travel between the transducer and the part. The UT machine is mounted on a movable platform (a "bridge") on the side of the tank so it can travel down the length of the tank. The transducer is swivel-mounted on at the bottom of a waterproof tube that can be raised, lowered and moved across the tank. The bridge and tube movement permits the transducer to be moved on the X-, Y- and Z-axes. All directions of travel are gear driven so the transducer can be moved in accurate increments in all directions, and the swivel allows the transducer to be oriented so the sound beam enters the part at the required angle. Round test parts are often mounted on powered rollers so that the part can be rotated as the transducer travels down its length, allowing the full circumference to be tested. Multiple transducers can be used at the same time so that multiple scans can be performed.
Through Transmission
Through transmission inspections are performed using two transducers, one on each side of the part as shown in Figure 13. The transmitting transducer sends sound through the part and the receiving transducer receives the sound. Reflectors in the part will cause a reduction in the amount of sound reaching the receiver so that the screen presentation will show a signal with a lower amplitude (screen height).
UT of T, K ,Y Joints as per API-RP-2X (for Offshore Structures ) or Modular Pipe Fabrication Yard


API RP-2X PRACTICE SPECIMENS • Material: Carbon Steel • contains 3 Specimens:
- 90° "T"T CONNECTION
- 45° CONNECTION
- 60° CONNECTION
20 (T) x 500 (WELD LENGTH) x 150 x 200mm LEG
20 (T) x 500 (WELD LENGTH) x 150 x 200mm LEG
20 (T) x 500 (WELD LENGTH) x 150 x 200mm LEG
AWS D 1.1 (Non tubular connection Steel Structures)
Steel Structures used in Power Plant and Oil Refineries, constructed as per AWS D1.1
Statically loaded.
Cyclically loaded Structures.
Construction of weld cross section involving curvature using profil e-gauge and other methods
Estimating change of angle, beam-path, surface distance for curved Surfaces
Applying acceptance criteria
Ultrasonic inspection report preparation
Phased Array
Phased array inspections are done using a probe with multiple elements that can be individually activated. By varying the time when each element is activated, the resulting sound beam can be "steered", and the resulting data can be combined to form a visual image representing a slice through the part being inspected.
Time of Flight Diffraction (TOFD)
Time of Flight Diffraction (TOFD) uses two transducers located on opposite sides of a weld with the transducers set at a specified distance from each other. One transducer transmits sound waves and the other transducer acting as a receiver. Unlike other angle beam inspections, the transducers are not manipulated back and forth towards the weld, but travel along the length of the weld with the transducers remaining at the same distance from the weld. Two sound waves are generated, one travelling along the part surface between the transducers, and the other travelling down through the weld at an angle then back up to the receiver. When a crack is encountered, some of the sound is diffracted from the tips of the crack, generating a low strength sound wave that can be picked up by the receiving unit. By amplifying and running these signals through a computer, defect size and location can be determined with much greater accuracy than by conventional UT methods.
(भारत) + 91 963 2916690, + 91 996 7581383




